Soeun Sim

국제규범 준수의 국내 선거구 메커니즘

Dai, Xinyuan. 2005. “Why Comply? The Domestic Constituency Mechanism.” International Organization 59(2): 363–398. (Info & audience mechanisms; strategy for causal leverage.)
Oct 2, 2025
국제규범 준수의 국내 선거구 메커니즘

유럽의 LRTAP 협약(1985)은 황 배출 감축을 약속했지만, 감시 체계가 국가 자가 보고에 의존해 무임승차 유인이 큰 전형적 집합행동 문제였다. 국제 제도의 강력한 제재 없이도 많은 국가가 목표를 달성했다는 점에서, 단순한 국제적 상호주의나 감시 효과로는 설명하기 어렵다.

이 논문은 준수의 원인을 국내 정치에서 찾는다. 정부는 다양한 집단(산업계 vs 환경단체)의 이해를 조정하며 집권을 유지하려 하고, 어느 집단이 더 큰 선거 영향력이나 정보력을 지니는지가 정책을 좌우한다. 따라서 규모가 크거나 정책 과정을 잘 아는 집단의 요구가 정부를 움직인다. 실제로 유럽의 산성비 사례에서 준수 여부는 국제 제도의 직접적 강제력보다 국내 유권 집단의 압력과 정보력이 결정적이었으며, 국제 제도는 이런 친(親)준수 집단에 정보와 정당성을 부여함으로써 간접적으로 준수를 강화했다.

첫째, 정부의 준수 결정은 기업(낮은 준수 선호)과 환경단체(높은 준수 선호)라는 상반된 집단의 압력 속에서 이루어진다. 각 집단 i의 효용은

로 나타나는데, 여기서 x는 정부가 실제 선택한 준수 수준, xi는 집단이 원하는 이상점, ai는 그 선호의 강도, ui는 외부 요인(경기·날씨 등)이다. 즉, 정부 정책이 집단의 이상점에 가까울수록 만족도가 높아지고, 외부 충격은 만족도를 더하거나 빼는 역할을 한다. 중요한 점은, 집단이 정책 과정을 얼마나 잘 이해하느냐(정보력)에 따라 정책 효과와 외부 요인을 구분해낼 수 있는 능력이 달라진다는 것이다. 따라서 정보력이 높은 집단은 정부가 실제로 어떤 정책을 했는지를 더 정확히 파악해 정부를 압박할 수 있다.

여기서 Pr(v)는 재선될 확률, δ는 정부가 미래를 얼마나 중시하는지, V는 재선의 가치다. 즉, 정부는 집단 전체의 복지를 고려하는 동시에, 무엇보다 재선을 위해 집단의 지지를 확보하려 한다. 이 때문에 규모가 큰 집단(표가 많은 집단)과, 정보력이 높아 속이기 힘든 집단의 요구를 더 반영하게 된다. 결국 협약 준수 여부는 국제 제도의 직접적 강제보다는, 국내 이해집단의 선거 영향력과 정보력에서 비롯되며, 국제 제도는 친(親)준수 집단에게 정보를 제공하고 정당성을 부여하는 간접적 방식으로 정부의 선택을 바꾼다는 것이 핵심이다.

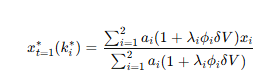
이 식은 정부가 1기(재선 가능 시기)에 선택하는 최적의 준수 수준을 보여준다. 정부의 실제 준수 수준은 각 집단이 원하는 준수 수준(xi)의 가중평균으로 결정된다. 단, 그 가중치는 단순한 집단의 선호 강도(ai)만이 아니라, 집단의 선거적 영향력(λi), 정보력(ϕi), 그리고 정부가 재선을 얼마나 중시하는지(δV)까지 반영된다.

즉, 정부는 “규모가 크고, 선거에서 중요한 표를 쥐고 있으며, 정책 효과를 잘 감시할 수 있는 집단”의 이상점 쪽으로 정책을 더 치우치게 조정한다. 따라서 협약 준수 수준은 단순한 절충이 아니라, 국내 집단의 힘과 정보력, 그리고 정부의 재선 의지가 결합된 결과라는 것을 이 식이 보여준다.

집단의 투표 행동은 컷오프 규칙으로 설명된다. 각 집단은 자신이 경험한 복지 Ui가 일정 기준선 ki 이상이면 현직 정부를 지지(투표 = 1)하고, 그렇지 않으면 반대(투표 = 0)를 선택한다. 이 기준선은 집단이 정부의 실제 정책 노력과 외부 충격을 구분해내는 능력(정보력)에 따라 달라지며, 결국 정부는 “내가 어느 정도까지 정책을 해줘야 이 집단을 지지자로 묶을 수 있을까?”를 계산하게 된다. 즉, 집단의 정보력이 높을수록 정부는 그 집단을 속일 수 없고, 따라서 그들의 기준선을 넘기기 위해 더 많은 정책적 배려를 하게 된다.

반면 재선이 불가능한 두 번째 시기에는 상황이 단순해진다. 정부는 더 이상 선거를 고려하지 않고, 각 집단의 선호 강도 ai를 반영한 이상점의 가중평균을 선택한다. 즉, 집단의 크기와 이슈 집착 정도만 반영될 뿐, 정보력이나 선거 영향력 같은 정치적 요인은 작동하지 않는다. 따라서 1기에는 재선 가능성이 걸려 있어 집단의 정보력·선거 영향력이 준수 수준을 끌어올리지만, 2기에는 단순한 선호 절충만 남는다는 점이 이 모델의 핵심이다

따라서 두 집단이 이 두 요인에서 차이가 있을 경우, 1기의 정책은 2기와 달라지고, 그 차이를 정책 편향(policy bias)이라고 부를 수 있다. 준수를 선호하는 집단이 더 큰 선거 영향력이나 높은 정보력을 가진다면 정부는 더 높은 준수 수준을 택하고, 반대로 준수를 반대하는 집단이 그런 속성을 가지면 준수 수준은 낮아진다. 예를 들어, 환경 단체가 산업계보다 두 배 크다면 정부는 환경 단체 쪽으로 치우칠 것이고, 그러나 산업계가 세 배 더 많은 정보력을 가진다면 오히려 산업계 편향이 생긴다. 즉, 정책 편향의 방향은 집단의 크기·선거 영향력·정보력에 의해 결정된다.

편향의 크기는 정부가 재선을 얼마나 중시하는지와 미래를 얼마나 고려하는지에 따라 달라진다. 재선 편익이 크고(δV ↑), 미래를 덜 할인할수록(δ ↑) 정부는 더 강하게 영향력 있는 집단과 정보력이 높은 집단을 의식하게 된다. 따라서 민주주의 국가는 선거 주기가 짧고 선거 압력이 크기 때문에, 집단의 속성이 준수 결정에 더 큰 영향을 미친다. 그러나 이것이 곧 민주주의가 권위주의보다 국제협약을 더 잘 지킨다는 뜻은 아니다. 민주주의는 단지 “누구의 이익이 더 강하게 반영될지”를 결정할 뿐이며, 그 방향은 환경 단체처럼 준수를 선호하는 집단이 더 영향력이 있는지, 아니면 산업계처럼 반대 집단이 더 강한지에 달려 있다. 따라서 민주주의적 책임성은 준수 수준을 높일 수도, 낮출 수도 있으며, 결국 국내 집단의 속성이 국제 협약 준수의 핵심 변수라는 점이 강조된다.

저자는 먼저 여론조사와 환경 관련 자료를 활용해 국가별 환경운동 활성화 지표를 만들었다. 이 지표는 네 가지 요소① 산성비에 대한 여론, ② 환경의식 수준, ③ 환경 NGO 회원 수, ④ 녹색당의 선거 기반로 구성되며, 이는 동시에 집단의 정치적 영향력(표와 조직력)과 정보력(환경문제에 대한 인식과 전문성)을 반영한다. 결국 한 국가에서 환경운동이 강할수록, 그 사회의 환경 친화적 요구는 정책 준수로 이어질 가능성이 높아진다.

자료 분석 결과, 서명국들은 환경운동 수준에 따라 크게 세 그룹으로 나뉘었다. 첫째, 서독·네덜란드·덴마크·노르웨이·스웨덴·오스트리아·핀란드처럼 환경운동이 활발했던 국가들은 황산화물 배출을 강력히 줄였다. 둘째, 벨기에·이탈리아·프랑스는 중간 수준을 보였고, 셋째, 동독·불가리아·체코슬로바키아·헝가리는 환경운동이 약해 가장 낮은 감축을 보였다. 특히 서독·스웨덴·노르웨이는 산성비 문제의 정치적 주목도가 높아 더욱 두드러졌다. 이는 국제 규범 자체가 아니라, 국내 환경운동의 강도와 정치적 힘이 국가별 준수 수준 차이를 설명한다는 점을 잘 보여준다. 다시 말해, 국제협약 준수는 외부 감시보다도 국내 집단이 얼마나 강하게 조직되고 정보력을 갖췄는지에 크게 달려 있었다.

노르웨이와 서독은 1985년 황산화물 의정서 준수에서 선도적 성과를 보였다. 노르웨이에서는 산업계가 비용 문제를 들어 반대했지만, 환경부·과학계·신생 환경단체들이 정보를 수집·전파하고 여론을 움직이면서 환경 의제가 선거의 핵심 쟁점으로 부상했다. 그 결과 정부는 최소 요건을 달성한 뒤에도 추가 감축 조치를 시행했다. 서독의 경우 ‘숲 고사’ 현상과 언론 보도로 산성비 문제가 정치적 폭발력을 얻었고, 환경단체·녹색당·친환경 산업 등이 결집했다. 대중의 환경 인식이 크게 높아지면서 정부는 반대 산업을 일정 부분 보상해 달래는 한편, 꾸준히 70% 이상 감축을 달성했다.

반면 프랑스는 준수 성과가 미미했다. 초기 감축은 원자력 에너지 전환 덕분이었을 뿐, 의정서 이후 추가 조치는 거의 없었다. 자동차 산업이 산성비 과학 자체를 의심하며 회의론을 확산했고, 환경 NGO와 녹색 정당은 정보력과 선거 영향력 모두 취약했다. 대중도 산성비 문제를 잘 알지 못했고 언론의 관심도 적어 환경 의제가 정치적으로 힘을 얻지 못했다. 그 결과 반대 진영이 우위를 점하며 프랑스의 준수 수준은 낮게 머물렀다. 체코슬로바키아는 산성비로 인한 피해가 심각했음에도 환경운동이 약했고, 따라서 1985년 황산화물 의정서 준수도 제한적이었다. 황 함유 연료에 의존한 국영 에너지 부문과 지방정부가 경제 목표를 우선시하며 강하게 반대했고, 반대로 찬성 세력은 정보력과 정치적 영향력이 모두 부족했다. 환경 데이터는 국가 검열로 통제되었고, NGO 역시 미약했으며, 환경운동은 체제 반대 운동의 일부로만 작동해 환경 자체의 동원력은 제한적이었다. 공산주의 붕괴 후 언론 자유 등 여건이 나아졌음에도 대중은 경제적 생존과 사회보장을 우선시했고, 결과적으로 새 정부 역시 환경보다는 경제 번영 약속을 지켜야 했다. 이러한 조건 속에서 체코슬로바키아는 분리 직전까지도 최소 준수 기준을 충족하지 못했으며, 이는 국내 집단의 정보력과 선거적 영향력이 국제협약 준수를 좌우함을 잘 보여준다.

국제기구는 직접적으로 국가를 제재하거나 강제하기보다는, 국내 친준수 집단의 힘을 키워 간접적으로 국가의 협정 준수를 이끌어낸다. 구체적으로는 두 가지 경로가 핵심이다. 첫째, 협정 조항과 정보 공개를 통해 친환경 집단의 거적 지렛대를 강화한다. 둘째, 보고서·데이터·연구 결과를 제공해 이들의 정보력과 감시 능력을 높인다. 이를 통해 국제기구는 비용이 큰 제재 없이도 국내 여론과 이해관계를 움직여 준수 압력을 형성할 수 있다.

LRTAP 협약의 1985년 황산화물 의정서 사례는 이를 잘 보여준다. 협약은 연구 촉진과 정보 확산을 통해 대중의 환경 의식을 높였고, NGO의 참여와 자료 공유를 가능하게 하여 국내 운동을 정당화·강화했다. 그 결과, 많은 유럽국가들이 단순한 최소 준수를 넘어 더 높은 수준의 배출 감축을 실현했다. 즉, 국제기구는 국내 친준수 세력을 empowered 함으로써 간접적이지만 강력한 준수 메커니즘을 작동시켰다.

이 글은 정부의 국제규범 준수가 궁극적으로 국내 선거구 메커니즘(domestic constituency mechanism)에 의해 좌우된다는 점을 밝힌다. 즉, 재선을 추구하는 정부는 더 많은 표를 움직일 수 있는 집단(선거적 지렛대(electoral leverage))과 정책 효과를 더 정확히 감시할 수 있는 집단(정보적 지위)에 불균형적으로 민감하게 반응하며, 유럽 국가들의 1985년 황산화물 의정서 준수 사례도 이러한 구조를 잘 보여준다. 기존 연구가 국제 차원의 집행에 집중한 반면, 이 글은 국내 차원의 집행을 이론적으로 체계화하고, 정보가 단순한 지지 동원의 도구일 뿐 아니라 집단이 정부의 정책을 정확히 평가하도록 만드는 정치적 책임성 경로임을 강조한다. 아울러 국제기구는 직접적인 강제 수단보다는, 조약 의무와 관련된 정보를 생산·공유하고 이를 통해 국내 환경운동가나 NGO의 요구를 정당화시켜주는 방식으로 간접적 영향을 행사한다. 따라서 심지어 ‘약한 기구(weak institutions)’나 ‘연성 규범(soft law)’조차 국내 친준수 집단의 선거적 지렛대와 정보적 지위를 강화함으로써 정책 결정에 의미 있는 변화를 이끌 수 있음을 보여주며, 이는 국제협력 연구, 국제기구의 간접적 영향력, 초국적 정보정치 연구에 모두 중요한 함의를 갖는다.

국제규범 준수의 국내 선거구 메커니즘 | Soeun Sim